Main

Projects: 0 1 2 3 4 5 6

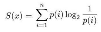
Information Theory

Shannon entropy

0.195179762781594