Main

Projects: 0 1 2 3 4 5 6

Project 6.

!* ! Label


ABBA !/( !* !) Label

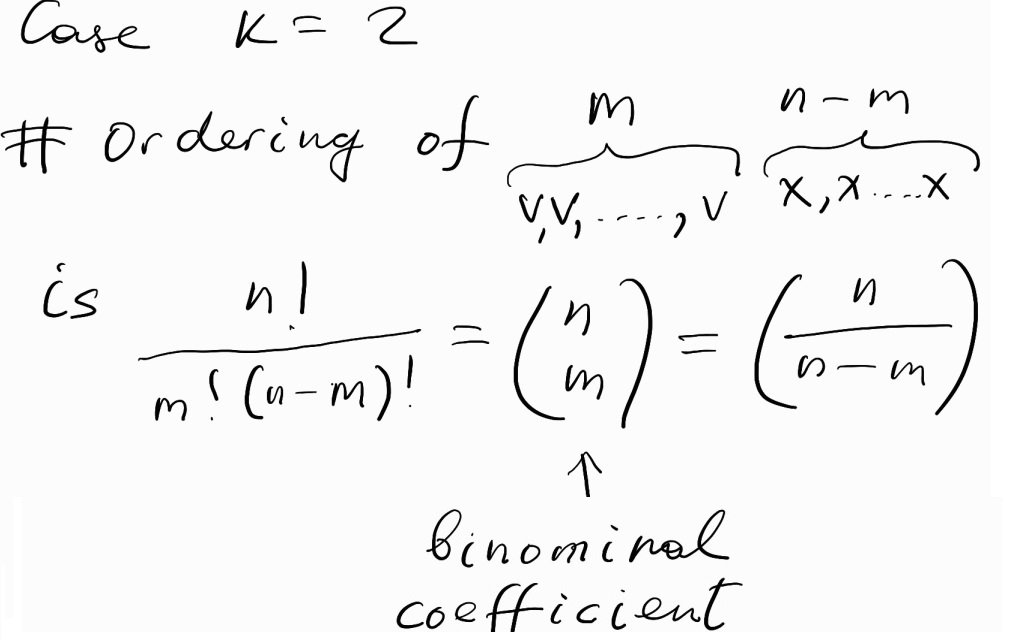
Binominal Coefficients

(
) Label